理学院
首页
学院概况
学院简介
学院领导
机构设置
师资队伍
教授(教授级高工)
副教授(高级实验师)
讲师(实验师)
硕士生导师
教育教学
本科生教育
研究生教育
科学研究
学术活动
数学学科
物理学科
化学学科
平台建设
学生工作
日常工作
学生竞赛
团委活动
招生就业
招生信息
就业信息
党群工作
党建工作
工会工作
校友风采
校友工作
优秀校友
资料下载
学生专用
教师专用
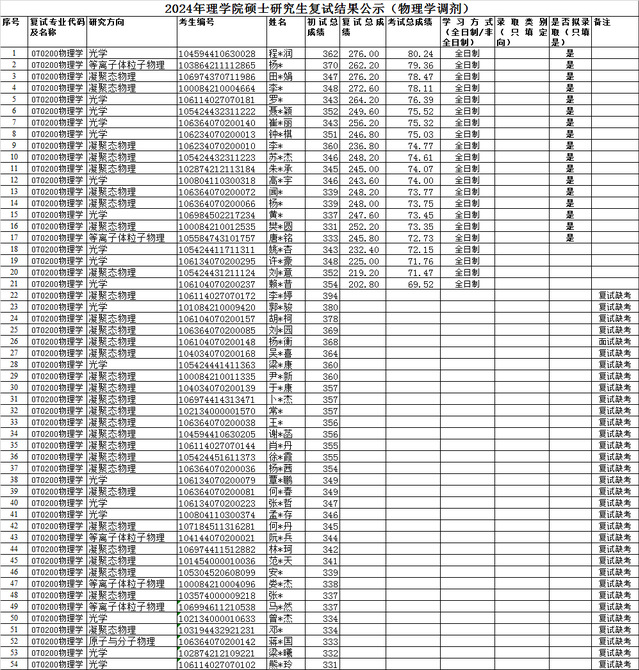
2024年理学院硕士研究生调剂复试结果公示
发布者:汪勇
发布时间:2024-04-12
浏览次数:
628
map