食品与生物工程学院食品营养与安全团队在Food Chemistry发表研究成果

作者:刘振平来源:食品与生物工程学院发布时间:2026-01-14浏览次数:335

近日,食品与生物工程学院食品营养与安全团队在《Food Chemistry》(中科院一区TOP,IF: 9.8)发表题为“Ratio electrochemical sensing strategy based on hemin/CNT/Ti3C2Txfor highly sensitive detection of synephrine in citrus honey”的研究性论文。食品与生物工程学院刘振平教授为第一作者,通讯作者为重庆大学侯长军教授、霍丹群教授和西华大学食品与生物工程学院陈祥贵教授。

论文截图

我国柑橘种植面积和蜜蜂养殖规模均居世界首位,柑橘蜂蜜以其独特的风味、口感和功能特性广受消费者青睐,是重要的特色商品蜜种,经济开发价值巨大。辛弗林是柑橘蜂蜜的特征标志物,其存在与否及含量可直接用于判断柑橘蜂蜜的真伪。

西华大学食品与生物工程学院依托“川渝共建特色食品重庆市重点实验室” 与重庆大学、重庆安全技术职业学院共同开展科研攻关,创新开发了基于功能化材料Hemin/CNT/Ti₃C₂Tₓ的比率电化学传感策略,并成功应用于蜂蜜样品中辛弗林含量的检测。本研究实现了柑橘蜂蜜的真实性精准快速鉴别,为柑橘蜂蜜质量控制提供了可靠保障,也为柑橘蜂蜜资源的进一步开发利用奠定了基础。

研究亮点

开发了用于比率电化学传感的新型金属卟啉材料。

Hemin/CNT/Ti₃C₂Tₓ的电化学传感性能得到显著提升。

通过比率电化学传感策略实现了辛弗林的高灵敏检测。

辛弗林传感策略的准确性在实际样品的检测中得到验证。

研究结论

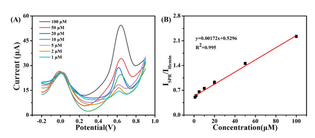
成功合成Hemin/CNT/Ti₃C₂Tₓ功能杂化材料,其兼具优异的富集能力、高导电性和催化活性,基于该材料构建的比率电化学传感策略,电化学信号与辛弗林浓度在1-100 μM范围内呈现良好的线性关系,检测限低至0.036μM,且具有出色的重复性、稳定性和抗干扰性。

该传感策略可有效应对蜂蜜复杂基质干扰,成功应用于实际蜂蜜样品检测,能准确识别柑橘蜂蜜中的辛弗林,与HPLC检测结果一致,为柑橘蜂蜜的真伪鉴别和质量控制提供了可靠技术手段。

该策略符合可持续发展理念,材料成本低、制备过程环保,适配联合国可持续发展目标,且操作简便、检测快速,在食品安全监管、消费者权益保护等方面具有广泛应用前景,也为复杂基质食品中特征标志物检测提供了新范式。

图文赏析

不同材料的SEM/TEM图,展示Ti₃C₂Tₓ等的结构特征及复合后的三维结构

EDS元素映射、FT-IR和XRD图,确认材料成分及结

XPS全谱及高分辨谱,揭示材料元素组成与化学键类型

CV曲线,体现材料电化学性能及扫描速率对SPR信号的影响

修饰体积、pH条件优化及峰电位与pH的线性关系

 目标物吸附示意图、催化性能DPV 曲线及催化机理与DFT分析

不同SPR浓度的DPV曲线及校准曲线



第一作者简介:

刘振平,博士,教授,硕士研究生导师,重庆市高校黄大年式教师团队带头人,重庆市“教书育人楷模”,重庆市“最美教师”,重庆市国家“三区”科技人才,主要研究方向为食品营养与质量安全控制及区域特色食品资源开发利用,先后主持或主研省部级各类科研项目及行业企业应用技术开发项目20余项,编写出版教材5部,申请及授权国家发明专利9件,以第一作者或通讯作者在国内外权威期刊发表学术论文20余篇,牵头开发畅销产品20余个,获全国商业科技进步奖、产品及技术创新奖4项,牵头构建了重庆三峡库区蜂产品质量安全控制体系,相关成果在中央电视台、学习强国学习平台、华龙网等主流媒体或平台报道,产生了显著的经济和社会效益。担任Top期刊《Journal of Agricultural and Food Chemistry》《发光学报》《美食研究》等权威期刊审稿专家,《食品工业科技》青年编委,重庆市食品科学技术学会理事、食品生物工程专业委员会副主任,中国食品科学技术学会会员。

责编:曾益

编审:范佳

维护:西华大学·网管中心 蜀ICP备05006459号-1

川公网安备 51010602000503号

Baidu
map